Penyelesaian Soal 6 Pria Dan 8 Anak
Dari 6 anak putri dan 8 anak putra saling bergandengan tangan membentuk lingkaran. Apabila ditambah nilai satu anak baru.

Prediksi Soal Utbk Matematika Saintek 2020 Quipper Blog
Karena berada diantara 8 dan 9 maka kita harus menghitung rata-rata dari angka yang berada di posisi 8 dan 9 tersebut yaitu 662 6 Soal 16 Nilai rata-rata IPA dari 8 anak adalah 63.

Penyelesaian soal 6 pria dan 8 anak. Banyak pilihan yang dapat diambil oleh siswa itu adalah. Anak ini menilai penyelesaian soal ini yakni menjumlah jumlah sendok yang digunakan makan dan sendok yang masih disimpan si Ibu. Ukuran yang digunakan untuk membuat celana pria yang diambil dengan cara melingkarkan pita ukur pada sekeliling pangkal paha adalah ukuran.
Dari 6 anak putri dan 8 anak putra saling bergandengan tangan membentuk lingkaran. SOAL 4 Dari 10 orang terpilih 4 wanita dipiljh 3 orang terdiri dari 2 orang pria dan 1 orang wanita. Contoh soal 7 Pada suatu kelas terdapat 8 orang pria dan 12 orang wanita akan dipilih 5 pria dan 3 wanita untuk membentuk kelompok gerak jalan.
Besar uang tabungan pak Ahmad selama satu semester jika selama waktu tersebut ia tidak menambah dan mengurangi tabungan miliknya adalah. Salinan UNBK MTK IPS Paket 1 8 18Pak Ahmad menabung di bank sebesar Rp1000000000 dengan bunga majemuk 3 per tiga bulan. Perhatikan pernyataan dan pertanyaan berikut ini dengan seksama.
Seorang siswa diminta mengerjakan 8 soal dari 10 soal tetapi soal nomor 3 dan 6 harus dikerjakan. L i k e n y _ r b g y a h o o. Jika 6 pria dan 8 anak laki-laki dapat melakukan sebuah pekerjaan dalam 10 hari sedangkan 26 pria dan 48 anak laki-laki dapat melakukan hal yang sama dalam 2 hari maka waktu yang dibutuhkan oleh 15 pria dan 20.
Banyak cara peserta ujian memilih soal yang dikerjakan adalah. C o m Page 1 PROBABILITAS PELUANG 91. Ada berapa macam posisi yang mungkin jika.
Ada 3 orang akan SOAL 6. Ada berapa macam posisi yang mungkin jika. E m a i l.
8 x 7 x 6 x 5 x 3 x 2 x 1 40320 5 orang putra duduk pada 5 kursi tertentu dan pertukaran duduk hanya boleh pada ke 5 kursi tersebut sehingga banyaknya cara duduk putra adalah P5 5. Download Bank Soal Matematika di. Rina menanyakan berapa umurnya dengan pernyataan.
P8 8 8. Media daring dan cetak adalah 2 1. 5 1 3 10 9 6 7 4 98 27.
Uang adik berbanding uang kakak Rumah Abbas berjarak sekitar 500 meter selisih uang keduanya 8p18000000 maJikka a dari. Modul Matematika Kelas XII SMK Kelompok Teknologi D i b u a t O l e h P a k S u k a n i. Video pembahasan soal ini lihat di.
3 Abbas dan Abhi adalah teman sekelas. Banyak cara untuk membentuk kelompok tersebut adalah. Lala menulis sebuah bilangan 6 digit kmd 2 buah angka 9.
Ini adalah masalah permutasi 8 unsur dari 8 unsur atau P8 8 diberikan oleh. Rani mempunyai 6 manik-manik berbeda warna yang akan ia rangka menjadi sebuah gelang. Jika 6 pria dan 8 anak laki-laki dapat melakukan sebuah pekerjaan dalam 10 hari sedangkan 26 pria dan 48 anak laki-laki dapat melakukan hal yang sama dalam 2 hari maka waktu yang dibutuhkan oleh 15 pria dan 20.
SOAL dan JAWABAN TVRI SD Kelas 4-6 Jumat 27 November 2020. Macam 21 30 Soal Peluang dan Jawaban beserta Pembahasan 21. Murid itu menyebutkan bahwa jumlah sendok yang dimilik ibu dalam soal adalah 20 sendok.
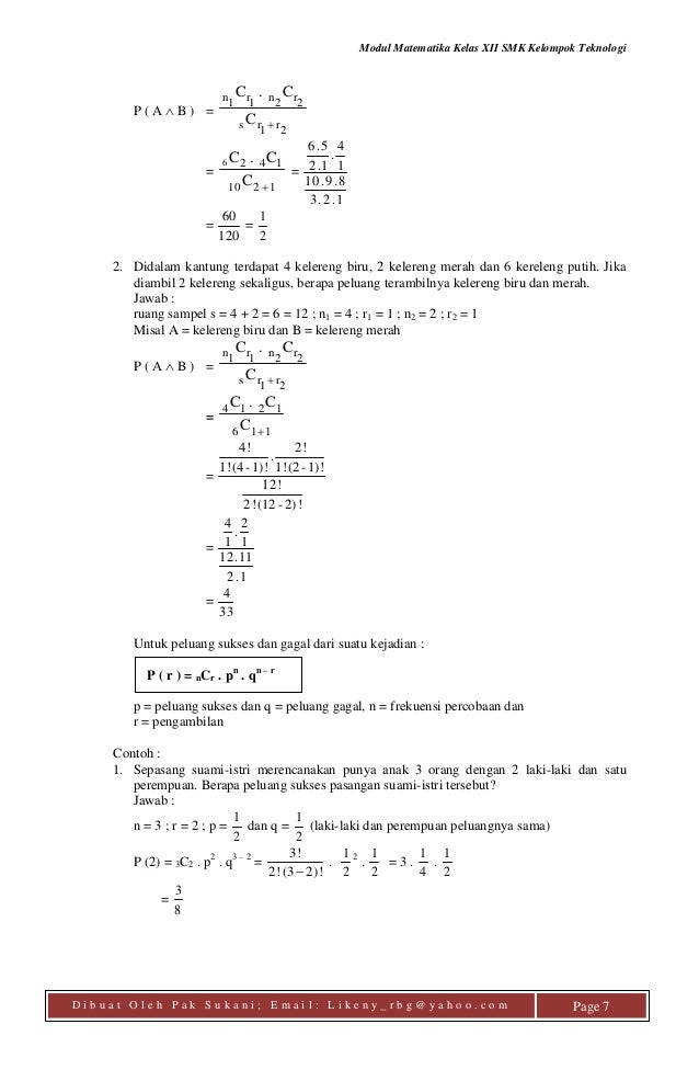
A Bebas b Anak putra berkelompok c Anak putri berkelompok d Anak putra dan putri 63. Modul peluang probabilitas pak sukani 1. Peluang pemilihan tersebut adalah SOAL 5 Disebuah toko tersedia 1 lusin lampu 2 diantaranya rusak.
- Sebutkan kalimat yang menunjukkan penyelesaian masalah pada teks Kegiatan Saat Jam Istirahat. Peserta ujian wajib mengerjakan soal 1 3 dan 5 serta hanya mengerjakan 8 dari 10 soal yang tersedia. Soal Psikotes dan Penyelesaiannya Etong-etongan 1.
Umur saya sekarang tiga kali umur keponakan saya dan. Menghitung Data Pengunjung Perpustakaan Hari ini Materi yang dibahas untuk siswa SD Kelas 4 5 dan 6 adalah tentang Pengolahan Data Statistika 2 yang tayang di TVRI pukul 0900 - 0930 WIB. Semula siswa akan memilih 8 soal dari 10 soal.
Contoh Soal Kombinatorika Permutasi dan Kombinasi dan Jawaban - Kombinatorika merupakan salah satu cabang matematika mengenai objek khusus. P 6 1. Pertanyaan tersebut merupakan soal Tema 4 Kelas 3 SD.
A Bebas b Anak putra berkelompok c Anak putri berkelompok d Anak putra dan putri. UN 2016 Dari angka.

16 Modul Peluang Probabilitas Pak Sukani

Permutasi Dan Kombinasi Materi Perbedaan Soal Pembahasan

Mohon Bantuannya Jika 6 Pria Dan 8 Anak Laki Laki Dapat Melakukan Sebuah Pekerjaan Dalam 10 Brainly Co Id

16 Modul Peluang Probabilitas Pak Sukani

Sebuah Panitia Beranggotakan 4 Orang Yang Akan Dipilih Dari 6 Pria Dan 5 Wanita Peluang Yang Brainly Co Id

Contoh Soal Kombinatorika Permutasi Dan Kombinasi Pembahasan

Jika 6 Pria Dan 8 Anak Laki Laki Dapat Melakukan Sebuah Pekerjaan Dalam 10 Hari Sedangkan 26 Pria Brainly Co Id

Jika 6 Pria Dan 8 Anak Laki Laki Dapat Melakukan Pekerjaan Dalam 10 Hari Sedangkan 26 Pria Dan 48 Brainly Co Id
34 Nilai Rata Rata Ulanga Lihat Cara Penyelesaian Di Qanda

Dari 6 Pelamar Pria Dan 5 Pelamar Wanita Akan Di Terima 4 Orang Banyak Cara Penerimaan Pelamar Brainly Co Id

Kumpulan Soal Dan Pembahasan Matematika Kombinatorik Relasi Biner D

Dari 7 Pria Dan 5 Wanita Akan Dipilih 4 Orang Yang Terdiri Dari 3 Orang Pria Dan 1 Orang Brainly Co Id
![]()
Soal Dan Pembahasan Statistika

16 Modul Peluang Probabilitas Pak Sukani

Jika 6 Pria Dan 8 Anak Laki Laki Dapat Melakukan Sebuah Pekerjaan Dalam 10 Hari Sedangkan 26 Pria Brainly Co Id

Apa Ciri Ciri Anak Laki Laki Dan Perempuan Pada Masa Puber Kunci Jawaban Tema 6 Kelas 6 Sd Tribunnews Com Mobile

16 Modul Peluang Probabilitas Pak Sukani

Posting Komentar untuk "Penyelesaian Soal 6 Pria Dan 8 Anak"